実際の作業環境下での測定
DIN及びISOによる標準化は国際的に認められたルールに従って再現性のある測定を形式的な形にしています。この基盤は2,000年前後にCHOCLABプロジェクト等によって作られました。PRIMES社や他の会社もこのプロジェクトに参加しました。このプロジェクトの成果が11145, 11146, 11670, 11554の規格です。
ビーム測定に関する主要公式
ビーム パラメータ プロダクト(BPP)
BPPは、レーザビームの品質及び集光性を示す物理パラメータです。
![]() |
|
ディフラクション インデックス M²
M2はレーザビームの特性を表す絶対的なパラメータです。M2値が大きくなるとビームの集光性が悪くなり、スポット径は大きくなります。
ディフラクション インデックス M² = 1/k
|
|
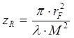
レイリー長 zR (焦点深度)
レイリー長はビームの断面積が集光点における断面積の2倍になる位置とビームの集光点の間の距離です。
![]() |
|
パルス アプリケーションの公式:
|
|
ファイバ アプリケーションの公式
|





